Silniki o zapłonie samoczynnym (ZS) różnią się, w porównaniu z silnikami o zapłonie iskrowym, sposobem przygotowania mieszanki, jej spalania i rodzajem stosowanego paliwa. Konsekwencją tego są inne wartości parametrów charakteryzujących proces spalania oraz inny skład i koncentracja podstawowych składników spalin.
1. Wprowadzenie
Głównymi składnikami toksycznymi spalin silników o zapłonie samoczynnym są tlenki azotu (NOX) oraz cząstki stałe (PM). Emisja tlenku węgla (CO) oraz węglowodorów (CH) jest niewielka i ma znaczenie drugorzędne (rys. 1). Emisja cząstek stałych (PM) jest specyficzna dla silników o zapłonie samoczynnym, wynika ona z właściwości stosowanego paliwa oraz z przebiegu procesu spalania i tworzenia mieszanki palnej. Podstawowym, ale nie jedynym składnikiem cząstek stałych jest węgiel (C) w postaci sadzy.
W celu ograniczenia zawartości składników toksycznych w spalinach w nowszych modelach silników o zapłonie samoczynnym stosuje się m.in. katalizatory utleniające oraz filtry cząstek stałych (sadzy). Podstawowym zadaniem katalizatora utleniającego jest ograniczenie zawartości tlenku węgla (CO) i węglowodorów (CH) w spalinach. Zmniejsza on również emisję cząstek stałych (sadzy) o około 30%. Następuje to w wyniku spalania cząstek sadzy podczas ich kontaktu z warstwą aktywną katalizatora w temperaturze około 600OC. W układach wylotowych nowoczesnych silników ZS montuje się również filtry cząstek stałych (sadzy) o różnej konstrukcji. Na przykład, filtr ceramiczny podczas przepływu spalin przez ścianki kanałów wymusza ich filtrację, co powoduje zatrzymywanie sadzy. Filtr cząstek stałych może być zespolony w jednej obudowie z katalizatorem utleniającym lub powierzchnia kanałów filtra może być pokryta warstwą katalityczną o działaniu utleniającym. Filtr wyposażony jest w dodatkowe układy służące do wypalania podczas jazdy zgromadzonej sadzy. Minimalna temperatura pracy katalizatora wynosi około 250OC. Uzyskanie przez silnik wymaganej temperatury płynu chłodzącego (80OC) nie zawsze oznacza, że katalizator osiągnął wymaganą temperaturę pracy. Aby do tego doprowadzić, przed badaniem spalin należy wykonać określone czynności przygotowawcze.
Obecnie podczas okresowych badań technicznych pojazdów z silnikiem o zapłonie samoczynnym nie wymaga się bezpośredniego pomiaru żadnego ze składników toksycznych spalin (NOX, PM, CO, CH). Obowiązujące przepisy określają natomiast dopuszczalny poziom zadymienia spalin, co można traktować jako pośredni pomiar zawartości cząstek stałych (PM), ponieważ obecność w spalinach cząstek stałych (sadzy) jest główną przyczyną ich zadymienia. Sytuacja taka jest spowodowana łatwością wykonania pomiaru zadymienia spalin oraz możliwością zastosowania mniej skomplikowanych przyrządów.
Jeżeli silnik o zapłonie samoczynnym pracuje na biegu jałowym, to wartość współczynnika składu mieszanki (λ) wynosi od 11 do 12. W komorze spalania do sprężonego powietrza wtryskiwana jest mała dawka paliwa, tworzy się mieszanka uboga i podczas jej spalania powstaje mało cząstek stałych (sadzy). Wraz ze wzrostem obciążenia układ zasilania podaje coraz większe dawki paliwa, mieszanka staje się coraz bogatsza i wzrasta zawartość sadzy w spalinach (rys. 2). Gdy silnik osiąga moc równą maksymalnej, współczynnik składu mieszanki (λ) ma wartość bliską jedności, a zawartość cząstek stałych (sadzy) jest największa. Można więc stwierdzić, że większe ilości cząstek stałych powstaną dopiero przy wzroście obciążenia silnika.
W stacjach kontroli pojazdów obciążenie w trakcie pomiaru zadymienia spalin jest realizowane w teście swobodnego przyspieszania, to jest podczas wywoływania nagłego przyrostu prędkości obrotowej silnika od prędkości biegu jałowego do maksymalnej. Moment bezwładności powstający podczas zwiększania prędkości obrotowej mas wirujących jest wówczas momentem obciążającym silnik. Umożliwia to krótkotrwałe osiągnięcie dużego obciążenia silnika i pozwala na wykonanie pomiaru. Podczas pomiaru zadymienia spalin dymomierz wykonuje serię pomiarów (minimum 3 cykle swobodnego przyspieszania). Każdy cykl przyspieszania jest zdarzeniem losowym i charakteryzuje się pewną niepowtarzalnością. Dlatego wyniki pomiarów są poddawane obróbce statystycznej. Mikroprocesor dymomierza oblicza średnią, odchylenie standardowe, odrzuca wyniki obarczone błędem grubym i ponownie oblicza średnią z pozostałych wyników pomiarów.
2. Metody badania zadymienia spalin
W zasadzie, poza tlenkami azotu (NOX), wszystkie składniki spalin pochodzące z zupełnego i całkowitego spalania paliw silnikowych są przezroczyste i bezbarwne. O niewłaściwym przebiegu spalania mieszanki świadczy wydalanie do otoczenia przez pracujący silnik nieprzezroczystych gazów spalinowych o określonym zabarwieniu. Spaliny ulegają zabarwieniu wskutek niecałkowitego spalania paliwa. Produkty takiego spalania to węgiel w postaci drobnych cząsteczek sadzy i niespalone węglowodory oraz para wodna kondensująca się w rurze wydechowej. Sadza nie występuje w czystej postaci. Absorbuje duże ilości węglowodorów i dlatego stanowi bardzo toksyczny, głównie w silnikach o zapłonie samoczynnym, składnik spalin. Barwa spalin i stopień ich zaczernienia pozwalają z dużym prawdopodobieństwem określić rodzaj niedomagania oraz stopień zużycia silnika.
Pomiar zadymienia spalin silników o zapłonie samoczynnym (ZS) wykonuje się w następującym celu:
dokonania ogólnej oceny stanu technicznego silnika i układu zasilania paliwem przez porównanie wyników pomiaru stopnia zadymienia spalin z wartościami granicznymi,
sprawdzenia prawidłowości działania zespołów układu wtryskowego silnika (np. pompa wtryskowa, wtryskiwacze, regulator kąta wyprzedzenia wtrysku), po wykonaniu czynności obsługowych i naprawczych.
Do badania zadymienia spalin stosuje się obecnie następujące metody:
- wzrokową kontrolę barwy spalin,
- metodę grawimetryczną,
- metodę optyczną.
Wzrokowa ocena zabarwienia spalin jest metodą stosunkowo mało dokładną i może służyć jedynie do badań wstępnych. Na podstawie barwy spalin można w pewnym przybliżeniu określić stopień zużycia silnika, ekonomiczność jego pracy oraz rodzaj niesprawności. O zmianie zabarwienia spalin wydostających się z silnika decydują przede wszystkim drobne cząstki sadzy (nadają charakterystyczną czarną barwę) i niespalone cząstki węglowodorów (nadające kolor niebieski). Sama sadza (czysty chemicznie węgiel) nie ma własności toksycznych. Charakteryzuje się jednak dużą zdolnością wchłaniania węglowodorów aromatycznych, które są bardzo toksyczne. Z tego względu sadza jest zaliczana do składników szkodliwych, zanieczyszczających środowisko naturalne.
Spaliny mogą mieć kolor: biały, niebieski (stalowobłękitny) lub czarny. Białe lub jasnoszare zabarwienie spalin może być spowodowane przedostawaniem się do przestrzeni roboczej silnika wody z układu chłodzenia (pęknięcie cylindra lub głowicy, uszkodzenie uszczelki), przechłodzeniem silnika lub stosowaniem paliwa o niskiej jakości. Jasnoszara barwa może być także związana z niewłaściwym stanem technicznym lub niewłaściwą regulacją układu zasilania i wtrysku paliwa. Natomiast podczas pracy silnika w niskiej temperaturze następuje skraplanie pary wodnej i biała barwa spalin jest wówczas objawem naturalnym.
Z kolei niebieski lub stalowoniebieski kolor spalin jest skutkiem spalania zbyt dużej ilości oleju silnikowego w wyniku nadmiernego zużycia układu tłokowo-korbowego lub rozrządu bądź zbyt wysokiego poziomu oleju w misce olejowej. Przyczyną tego może być również przechłodzenie silnika.
Najgroźniejsze jest czarne (brunatne) zabarwienie spalin, będące wynikiem zwiększonej zawartości sadzy i węglowodorów, które są produktami niecałkowitego i niezupełnego spalania. Taki kolor spalin może również wystąpić w chwili gwałtownego zwiększenia obciążenia silnika i wówczas jest zjawiskiem naturalnym.
Poziom sadzy w spalinach silników o zapłonie samoczynnym może wzrosnąć wielokrotnie ponad graniczne wartości w wyniku:
niewłaściwego rozpylania wtryskiwanego oleju napędowego na skutek niesprawności wtryskiwaczy (nieszczelność rozpylacza, zużycie otworów wylotowych rozpylacza, zbyt niskie ciśnienie wtrysku),
nieprawidłowej regulacji kąta wyprzedzenia wtrysku (zbyt mały kąt wyprzedzenia wtrysku paliwa, zużyte elementy napędu pompy wtryskowej),
zbyt dużej, większej od znamionowej, dawki paliwa (niewłaściwa regulacja pompy wtryskowej),
pogorszenia się stanu technicznego silnika spalinowego (nadmiernie zużyte cylindry i pierścienie tłokowe, niewłaściwe luzy zaworowe, nieszczelność głowicy, dławienie w układzie dolotowym powietrza, zanieczyszczony filtr powietrza),
nieprawidłowej pracy układu chłodzenia silnika lub układu podgrzewania komór spalania (usterki układu sterowania, uszkodzone świece żarowe).
Metoda grawimetryczna polega na określeniu masy sadzy w jednostce objętości spalin (mg/m3) i jest stosowana w warunkach laboratoryjnych. W ostatnim okresie niektórzy wytwórcy opracowali przyrządy do pomiaru stężenia cząstek stałych w spalinach (tzw. liczniki cząstek stałych), nadające się do zastosowania w warunkach eksploatacyjnych (w stacjach kontroli pojazdów).
Z uwagi na trudności związane z określeniem wagowej ilości sadzy w spalinach silników o zapłonie samoczynnym w praktyce stosuje się optyczne sposoby pomiaru stopnia ich zadymienia. Metoda optyczna polega na ocenie nieprzezroczystości spalin w sposób pośredni (przez pomiar stopnia zaczernienia bibuły filtracyjnej) albo w sposób bezpośredni, w wyniku pomiaru pochłaniania (absorpcji) światła przez rozproszoną sadzę zawartą w spalinach.
Pomiar zadymienia spalin sposobem filtracyjnym polega na przepuszczaniu przez bibułę filtracyjną ściśle określonej objętości spalin pobranej z układu wylotowego pojazdu i ocenie stopnia zaciemnienia bibuły osadem naniesionym przez spaliny. Stopień zadymienia określany jest na drodze pomiaru zaczernienia powierzchni bibuły filtracyjnej lub zmniejszenia jej przezroczystości.
Badanie zadymienia spalin sposobem absorpcyjnym polega na pomiarze stopnia pochłaniania światła przepuszczanego przez zadymione spaliny zmagazynowane w specjalnej komorze pomiarowej lub przez tę komorę przepływające.
Metodę optyczną wykorzystano w budowie najpopularniejszych dymomierzy stosowanych w warunkach eksploatacyjnych do celów diagnostycznych, to jest dymomierzy filtracyjnych i absorpcyjnych. Obecnie najczęściej oferowane są następujące wersje konstrukcyjne dymomierzy absorpcyjnych:
pojedyncze samodzielne urządzenie kontrolne (rys. 3),
przystawka do analizatora spalin; modułem dymomierza można sterować wykorzystując klawiaturę analizatora spalin (rys. 4) lub za pomocą zewnętrznego komputera (PC, laptop) – rys. 5,
element kompleksowego stanowiska do kontroli emisji spalin (tzw. stacji badania spalin) silników o zapłonie iskrowym i samoczynnym (rys. 6).
Do oceny zadymienia spalin konieczne jest doprowadzenie pełnej dawki paliwa, jaka może wystąpić w czasie eksploatacji silnika, ponieważ im większa dawka wtryśniętego paliwa, tym większe zadymienie. Z tego powodu zadymienie spalin silników o zapłonie samoczynnym powinno się mierzyć w warunkach pełnego obciążenia silnika lub swobodnego przyspieszania, to jest gwałtownego zwiększania jego prędkości obrotowej na biegu luzem.
Najbardziej uzasadnione byłyby badania zadymienia w warunkach pełnego obciążenia silnika, pracującego z prędkością obrotową maksymalnego momentu obrotowego. Taki pomiar wykonuje się przy ustalonych parametrach pracy silnika. Gwarantuje to dużą dokładność i powtarzalność wyników pomiarów oraz późniejsze włączenie się regulatora prędkości obrotowej. Do tego rodzaju badań niezbędna jest hamownia podwoziowa lub inny sposób obciążenia silnika.
W warunkach eksploatacyjnych tego typu badania dymienia są zbyt kosztowne i czasochłonne, dlatego stosuje się prostszą metodę pomiarową, zwaną metodą swobodnego przyspieszania. Polega ona na pomiarze największego dymienia występującego podczas przyspieszania silnika pracującego bez obciążenia od prędkości obrotowej biegu jałowego do prędkości obrotowej maksymalnej. Zwiększanie prędkości obrotowej silnika powinno odbywać się w następujący sposób. Lekko naciskać na pedał przyspieszenia, aby doprowadzić prędkość obrotową do wartości, przy której reguluje się ją nie regulatorem, lecz pedałem. Następnie pedał przyspieszenia szybko nacisnąć do oporu, a wówczas silnik przyspieszy do maksymalnej prędkości obrotowej.
W praktyce swobodne przyspieszanie polega na zwiększeniu prędkości obrotowej silnika o 200-400 obr./min powyżej prędkości biegu jałowego, a po jej ustaleniu – na szybkim zwiększeniu prędkości obrotowej do wartości maksymalnej. Pomiar zadymienia jest więc wykonywany w bardzo krótkim czasie (około 1 s). Występujące podczas tego przyspieszenia zadymienie spalin uważa się za porównywalne z dymieniem przy największym momencie obrotowym silnika. Takie założenie pozwala na znaczne uproszczenie pomiaru i zastosowanie tej metody w stacjach kontroli pojazdów lub podczas kontroli w warunkach drogowych.
3. Jednostki pomiarowe
Wyniki pomiarów stopnia zadymienia spalin uzyskane różnymi metodami pomiarowymi i różnymi przyrządami nie są równoważne (brak jednoznacznej zależności między zawartością sadzy w spalinach a przezroczystością spalin). Z tej przyczyny przeliczanie jednostek określających stopień zadymienia spalin, stosowanych w różnych przyrządach, na procentową zawartość sadzy ma znaczenie umowne.
Do badania zadymienia spalin, w zależności od rodzaju zastosowanego dymomierza i metody pomiarowej, stosuje się różne jednostki i skale pomiarowe. W dymomierzach filtracyjnych jednostką pomiarową stopnia zadymienia spalin jest umowna jednostka dziesięciostopniowej skali Boscha lub liczba z zakresu 1-100, obrazująca procent światła pochłoniętego przez zaczernioną bibułę filtracyjną. W tej skali 0% reprezentuje przepuszczalność czystej bibuły, a 100% – ciała absolutnie czarnego.
Dymomierze absorpcyjne pozwalają oceniać zadymienie spalin bezpośrednio, w oparciu o pomiar jednej z pięciu następujących wzajemnie współzależnych wielkości fizycznych [1]:
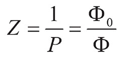
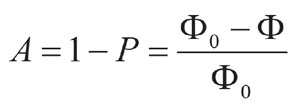
przezroczystości spalin – P

gdzie: Φ0 – natężenie strumienia światła przed przejściem przez słup gazu, Φ – natężenie strumienia światła po przejściu przez słup gazu;
stopnia zaciemnienia spalin – Z
stopnia pochłaniania światła – A
gęstości optycznej spalin – D
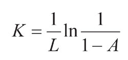
współczynnika pochłaniania światła – K
gdzie: L – długość pomiarowa słupa gazu (w metrach).
Zadymienie spalin mierzone w stacjach kontroli pojazdów określa się obecnie za pomocą dwóch z opisanych jednostek, to jest: stopnia pochłaniania światła (A) oraz współczynnika pochłaniania światła (K). Z tego powodu większość stosowanych dymomierzy optycznych wyposażona jest w dwie skale:
liniową, tj. stopnia pochłaniania światła (A), zwaną także skalą Hartridge’a (HRT), dla której zero (0) oznacza pełną przezroczystość spalin (Φ0 = Φ), a podziałka 100 – całkowity jej brak;
logarytmiczną, wycechowaną w jednostkach współczynnika pochłaniania światła – K (tj. w m-1), na której zero (0) oznacza pełną przezroczystość spalin, a nieskończoność (∞) – całkowity jej brak.
Wskazania przyrządu na skali liniowej (A) są zależne nie tylko od stopnia zadymienia spalin, ale także od długości pomiarowej (L) słupa gazu. Ponieważ w dymomierzach stosuje się różne długości pomiarowe słupa gazów, mierząc zadymienie tych samych spalin kilkoma dymomierzami (o innej długości pomiarowej – L), dla tej samej wartości współczynnika pochłaniania światła (K) uzyska się różne wyniki stopnia zadymienia w skali liniowej (A) – rys. 7.
W obecnie obowiązujących normach ekologicznych [2], dotyczących stacji kontroli pojazdów, podstawowym parametrem pomiaru zadymienia spalin jest współczynnik pochłaniania światła (K), który ustala granice dopuszczalnego stopnia zadymienia spalin dla silników o zapłonie samoczynnym zarówno niedoładowanych (wolnossących), jak i turbodoładowanych. Na rys. 8 przedstawiono przykład ekranu z wynikami pomiaru zadymienia spalin podanymi w skali logarytmicznej w postaci współczynnika pochłaniania światła (K) w m-1.
Aktualne unormowania prawne [3] dopuszczają pomiar stopnia zadymienia spalin według skali liniowej HRT (Hartridge’a) i przeliczanie uzyskanych wartości na współczynnik pochłaniania światła – K (skalę logarytmiczną). Do przeliczenia wartości zadymienia z jednej jednostki na drugą konieczna jest znajomość długości pomiarowej (L) komory dymomierza. Wykorzystuje się do tego tabele, które można jednak stosować tylko do przeliczania wyników uzyskanych za pomocą dymomierzy o określonej długości pomiarowej (L).
dr inż. Kazimierz Sitek
Literatura
1.Praca zbiorowa (red. Niziński S.): Diagnostyka samochodów osobowych i ciężarowych. Dom Wydawniczy Bellona, Warszawa 1999.
2.Rozporządzenie w sprawie warunków technicznych pojazdów (Dz.U. z 2016 r., poz. 2022, z późn. zm.).
3.Rozporządzenie w sprawie zakresu i sposobu przeprowadzania badań technicznych pojazdów (Dz.U. z 2015 r., poz. 776, z późn. zm.).
4.Sitek K., Syta S.: Pojazdy samochodowe. Badania stanowiskowe i diagnostyka. Warszawa, WKŁ, 2011.




Komentarze (0)